\

1.5.2 Inverse Function Example 4 – 6

Example 4:
(a) If f : xx – 2, find f -1 (5),

(b) if f:x x+9 x5 , x5, find  f 1 (3).

Solution:
 
(a)
f (x) = x– 2
Let y = f -1 (5)
f (y) = 5
y – 2 = 5
y = 7
therefore, f -1 (5) = 7

(b)
f(x)= x+9 x5 Let y= f 1 (3) f(y)=3 y+9 y5 =3 y+9=3y15 2y=24 y=12 f 1 ( 3 )=12

 

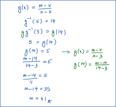
Example 5

If g : x m x x 3 , x 3   and g 1 ( 5 ) = 14  .  Find the value of m.



Correction:
m – 14 = 55
m = 55 + 14
m = 69

Example 6 (Comparison Method)
If f : x m x n x 2 , x 2   and f 1 : x 5 2 x 2 x , x 2. . Find the value of m and of n,


2 thoughts on “1.5.2 Inverse Function Example 4 – 6”

Leave a Comment